19 July 2005

 

Herd instinct

At last Thursday's meeting of the county council, the chairman, Cllr Clive Collins, opted to use his absolute powers to deprive me of my rights under the constitution to reply to the debate on my proposal that the planning consent given to Cwmbetws Ltd (managing director council leader John Davies) to build a 2,800 sq ft herdsman's cottage on its farm, should be revoked.
This was a pity because, even by their own dismal standards, the efforts of the Independent Political (sic) Group to counter my arguments were pathetic.
First up was deputy leader John Allen-Mirehouse who trotted out the usual garbage about "personal vendettas".
This is the IPG's default argument, when they can't think of anything intelligent to say.
As you might imagine, it is often used.
Having got the vendetta off his chest, Squirehouse informed the council that Cllr Davies had submitted another planning application for a new building to house more cattle.
The "argument" being, that, in due course, there would be a need for a herdsman and his cottage.
That's as may be, but the simple fact is that key factor is the number of cattle on the farm on the day the planning committee made its decision, not seven months earlier when Cllr Davies submitted the "Agricultural justification form" and not at some unspecified future date when the farm might be carrying sufficient stock to justify an extra worker.
Next up was Cllr Islwyn Howells, cabinet member for education.
Cllr Howells had to find a way round the fact that, by the time the planning committee granted permission on 24 May 2005, most, if not all, of the 165 dairy cows; listed in a "Agricultural justification form" signed by Cllr Davies in October 2004, which formed the basis for the "functional need" for a herdsman's cottage, had been sold.
Clearly someone who believes in arguing from first principles, Cllr Howells started with a dictionary definition of "herd" before going on to list the several species of animal that live in herds.
I must admit to drifting off into thinking about George Orwell's "Animal Farm" at the mention of pigs, so I can't say whether he got as far as elephants, reindeer and wildebeest.
However, I was sufficiently alert to hear him make what he clearly thought was the killing point: that it is not only dairy cattle that need a herdsman.
The things you learn!
While this is no doubt true, it is also entirely irrelevant because the planning permission was granted on the basis of the amount of labour required to tend 165 dairy cattle, 162 beef cattle and 350+ tack sheep.
And, as George Orwell might have said, when it comes to herdsmen: "All animals are equal, but some are more equal than others".
That is because, when calculating a farm's labour requirements, a dairy cow rates 36 hours per year and a beef animal 16.
As the mathematicians among you will already worked out, the labour needed for 165 dairy cows is equivalent to that for 340 other cattle.
So to bring the farm up to speed, labour wise, it would need to support 340 + 162 = 502 beef cattle in total; rather a lot for 350 acres, I would have thought.
Cllr Jamie Adams then piped up to claim that the Welsh Assembly's refusal to call in the application showed that they approved of the new herdsman's cottage.
To destroy such an elegant hypothesis with an ugly fact borders on vandalism, but here goes!
The Welsh Assembly's letter informing me of the refusal to exercise the powers of call in, says that very few applications are called in and that "Those applications that are called in are generally considered to raise issues of more than local importance."
Furthermore: "This decision [not to call in] neither implied nor inferred any view on the merits of the proposed development."
Then there is the argument that the only reason that I and others are raising objections to this application is because it involves the Leader of the council.
As evidence, they cite two other consents for even larger agricultural dwellings in the same area over the past six years that have gone through without any fuss at all.
Firstly, three wrongs don't make a right.
Secondly, the reason there was no fuss was because they were dealt with by officers under delegated powers and nobody knew about the finer details.
And, thirdly, the applicants in the two earlier cases were not bound by the councillors' Code of Conduct.
All the above arguments are examples of rationalisation - defined in my dictionary as: "To offer or subconsciously adopt a plausible but specious explanation of (one's behaviour or attitude)."
Basically, rationalisation is an amalgam of wishful thinking, self-deception and intellectual dishonesty - more or less what you'd expect from people who can't see the inherent contradiction in the term Independent Political Group.
Rationalisation often results from first reaching your desired conclusion and then selecting from the available set of facts those that support it, while ignoring or rejecting those that don't.
This is the exact opposite of being rational, which, as Aristotle (384-322 BC) pointed out all those years ago, requires that you first assemble all the available evidence before applying the principles of logic to reach a, hopefully, true conclusion.
The antidote to rationalisation is a preference for that which is actually true over that which you would like to be true.


The loyal opposition

It is not just members of the IPG who are prone to this disease.
Five out of the eight Labour members present also voted against my NoM.
Cllr Ken Rowlands from Johnston found a neat way of offending nobody (or everybody).
First, he made a rousing speech about being misled over the rules regarding the size of the proposed dwelling during the planning committee meeting .
Then he voted against my Notice of Motion.
The "Third Way", perhaps!
But the party of social justice has a serious problem with the difference in the way the Leader's company's application was dealt with, compared to that down the road at Ffos-y-ficer.
That, you may remember, involved a farmworker who was retiring after 47 years service with the loss of the occupancy rights to his tied cottage.
His boss - no grasping capitalist, apparently - reluctant to evict his long-serving worker to make way for a replacement herdsman, proposed building another modest cottage on the farm for the new man.
This was refused on the grounds that "Planning policy is concerned with the needs of the agricultural unit and not the personal preferences or circumstances of any of the individuals involved."
I have no problem with this decision because, clearly, a retired farmworker has no need to live "on the spot".
But what I can't understand is how the planning department managed to reach an entirely different conclusion at Cwmbetws where the farmer/farm worker was retiring from his job to take up more congenial employment as Leader of Pembrokeshire County Council.
There is nothing in the council's constitution that requires that the Leader should live in a farmhouse.
As with the retiring farm worker, he could just as well live in a nearby village thereby releasing the on-farm dwelling for the use of whoever is needed to "live on the spot".
Clearly, Cllr Davies preference is to stay in the farmhouse, but it is not easy to see why that should be given more weight than the farmworker's personal preference to live out his days on the farm where he has spent all his working life.
The Labour Group's way of rationalising themselves out of this dilemma is to argue that there are already three dwellings on Ffos-y-ficer, and only one at Cwmbetws.
On its own, that seems to be a fairly compelling argument.
However, when you consider that Ffos-y-ficer is 1,200 acres (Cwmbetws 350) supporting 500 dairy cows (Cwmbetws 165 ex-dairy cows) the 3:1 ratio seems perfectly reasonable.
Of course, now that Cwmbetws has been given permission to build a second dwelling the ratio is 3:2 which, given the relative sizes of the farming operations seems completely unreasonable.
Add to that the fact that the new dwelling at Cwmbetws will have a floor area equal to all three dwellings at Ffos-y-ficer put together, and the three-cottages argument collapses in a heap.
And that without having to consider the fact that, by the time the planning committee approved the Cwmbetws application, most of the dairy herd had been sold off, while at Ffos-y-ficer the cows remain.

King of the road

For three weeks, starting yesterday, the county council's books are open for inspection by the public.
So Old Grumpy made a trip to Waterston to have a preliminary look.
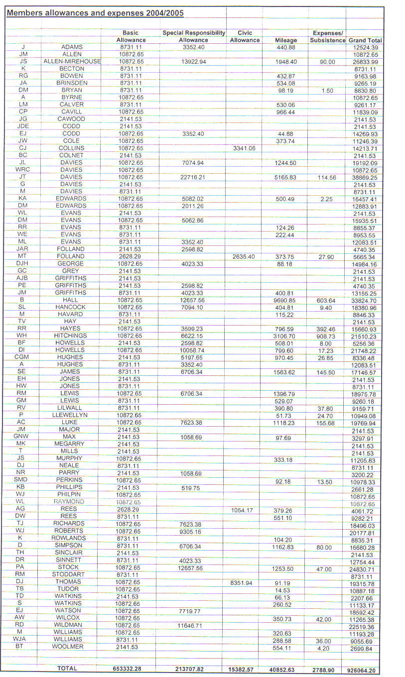
My first port of call was the members' expenses and allowances which are published below.


Note: These figures are distorted by the fact that 2004/2005 was an election year. The member's basic allowance is £10,872. Those who drew £2141 either lost/didn't contest their seats at last June's elections; those on £8731 are newly elected. The same considerations apply to special responsibility allowances.
Cllr Brian Hall with travelling expenses of £9,690 is streets (shouldn't that be motorways? Ed.) ahead of his nearest rival; council leader John Davies (£5,165) with Bill Hitchings, a past winner of Old Grumpy's Marco Polo award for taxpayer funded travel, in bronze medal position.
Cllr Hall's achievement is all the more remarkable considering Cllr Davies has more than twice as far to travel to get to county hall.
According to Old Grumpy's calculations (based on 50p per mile) Cllr Hall travelled some 19,380 miles during the year; picking up almost 25% of the total travelling expenses claimed.
Not bad, considering he only makes up 1.66% of the membership.
At an average speed of 60 mph that amounts to eight 40-hour weeks in the driving seat. At 40 mph, the number of solid weeks on the road goes up to 12, though if he could consistently sustain the velocities achieved on his death-defying dash from Magor to Pembroke Dock on 1 February 2001 (see The Time Lord) the time at the wheel falls to a more manageable 2.5 - 3.5 weeks depending on whether he averaged 202 mph [take 15 mins to eat lunch] or 144 mph [throw lunch in bin and hit the road].
Of course, if we assume he took the circuitous route Magor to Pembroke Dock to Swansea because he had some time consuming duty to perform in Pembroke Dock (say 10 minutes) then the required average speed rises to levels that even the rationalisers in the Independent Political (sic) group would be hard pressed to explain away.

Whoops!

A friend has drawn my attention to the county council's tourism website (www.visitpembrokeshire.com).
It seems that anyone who hasn't already taken their hols has left it too late for this year because, when I logged on this afternoon (19 July), I read:

"Pembrokeshire is blooming lovely in Spring
If there's one time of the year when Pembrokeshire is at its very best, it's right now, the end of May and early June.

There's one other big plus in visiting at this time of year: there won't be hoards of holidaymakers around!

Wait until July and you've missed the boat. The flowers have set seed and the Puffins have left for the open ocean."

Tripe bananas

The experiment to test my socialist friend's hypothesis regarding the effectiveness of ripe bananas as a tomato-ripening aid has now reached a conclusion and the results can be published for peer review.
Apparatus
One ripe banana, one elastic band and six tomato plants of the same age and variety.

Method
The ripe banana was attached to the bottom truss of one of the tomato plants with the elastic band.

Results
After two weeks the treated tomatoes have turned turned red, but so have the tomatoes on the other five plants.
One black, totally inedible banana.

Conclusions
This is an old-wives tale, but what would you expect from someone who until recently believed that dialectical materialism was the basis for historical inevitability.

PS Just had an email on this subject from Charlotte, who informs me that ripe bananas give off a chemical that speeds up the ripening of tomatoes.
She even claims that ripe tomatoes also give off the same chemical, which is why they all come ready at once.
Don't I know it!
Last summer it got to the stage that, whenever my neighbours saw me advancing down the drive with a Tesco bag, they would pretend to be out.
By the way Charlotte, the ripening chemical that you couldn't remember the name of is the gas Ethylene (H2C=CH2).
I know its effectiveness has been scientifically proven , but I assume that the product of one ripe banana doesn't produce sufficiently high concentrations to make much difference.
But I didn't want HIM to know that.
I will repeat the experiment next year with a bunch of bananas and a plastic bag to keep the gas from drifting away.

back to home page